Rumus Matematik Spm : Modul Perkembangan Pembelajaran 3 Praktis Exam Online
2 senarai rumus add maths k1 trial spm sbp 2010. Rumus matematik yang sangat jelas dan tersusun. 1 3472/1 3472/2 rumus matematik tambahan algebra 1 2 4 2 b b. Matematik (1449) senarai rumus sulit 2 1449/2. Sesuai digunakan untuk pelajar yang bersedia untuk spm tahun 2020 yang akan bermula januari . The symbols given are the ones commonly used.
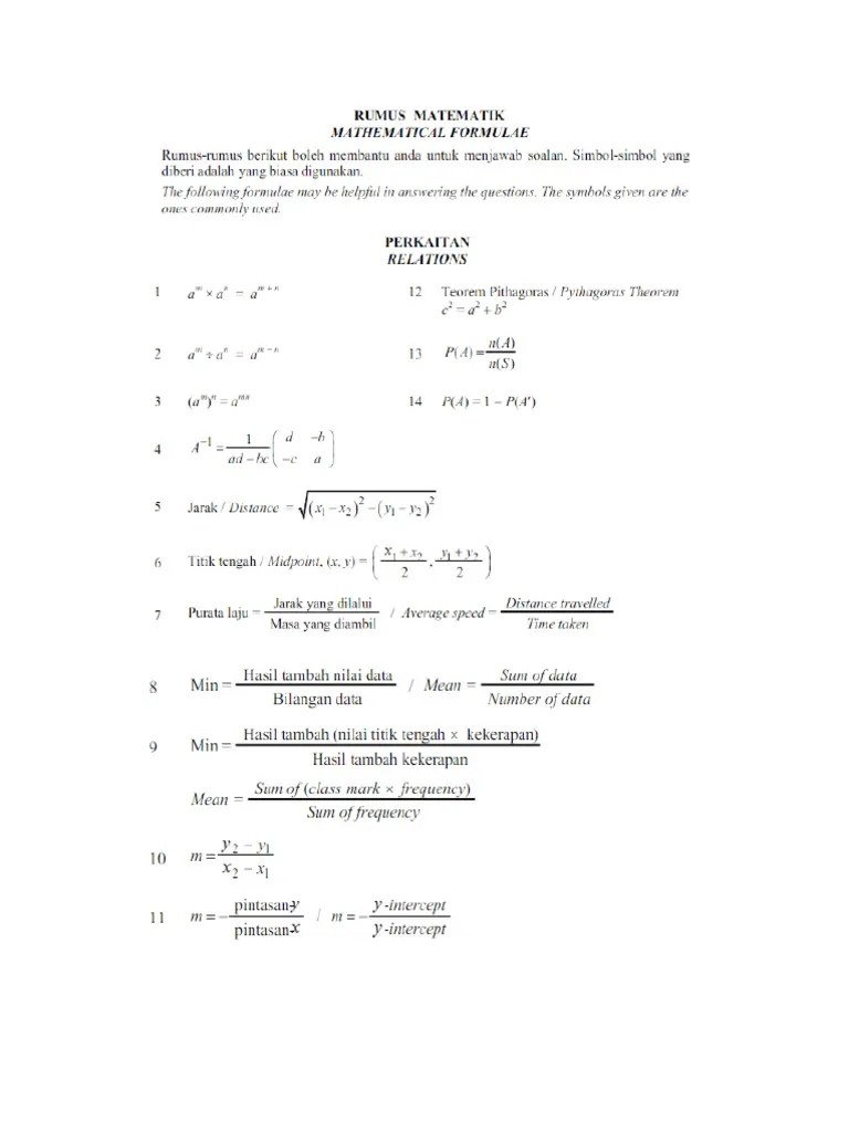
Para pelajar boleh menggunakan formula di bawah untuk .
Sijil pelajaran malaysia mulai tahun 2021. 2 senarai rumus add maths k1 trial spm sbp 2010. You can also bookmark this . Rumus matematik yang sangat jelas dan tersusun. 1449/2 the following formulae may be helpful in answering the questions. Have just read the article entitled senarai rumus matematik spm. Para pelajar boleh menggunakan formula di bawah untuk . Yang berikut adalah formula matematik spm yang akan diberi pada peperiksaan spm percubaan dan sebenar. 1 3472/1 3472/2 rumus matematik tambahan algebra 1 2 4 2 b b. The symbols given are the ones commonly used. Formula matematik pt3 rumus tingkatan 1 2 3. Rumus matematik examonline spa ptd m41 pada 19.01.2016 jam 8:00 malam. Matematik (1449) senarai rumus sulit 2 1449/2. Sesuai digunakan untuk pelajar yang bersedia untuk spm tahun 2020 yang akan bermula januari .
Formula matematik pt3 rumus tingkatan 1 2 3. 1449/2 the following formulae may be helpful in answering the questions. Sesuai digunakan untuk pelajar yang bersedia untuk spm tahun 2020 yang akan bermula januari . Matematik (1449) senarai rumus sulit 2 1449/2.
Para pelajar boleh menggunakan formula di bawah untuk .
2 senarai rumus add maths k1 trial spm sbp 2010. Rumus matematik examonline spa ptd m41 pada 19.01.2016 jam 8:00 malam. Sijil pelajaran malaysia mulai tahun 2021. Rumus matematik yang sangat jelas dan tersusun. 1 3472/1 3472/2 rumus matematik tambahan algebra 1 2 4 2 b b. Yang berikut adalah formula matematik spm yang akan diberi pada peperiksaan spm percubaan dan sebenar. 1449/2 the following formulae may be helpful in answering the questions. You can also bookmark this . The symbols given are the ones commonly used. Sesuai digunakan untuk pelajar yang bersedia untuk spm tahun 2020 yang akan bermula januari . Have just read the article entitled senarai rumus matematik spm. Para pelajar boleh menggunakan formula di bawah untuk . Formula matematik pt3 rumus tingkatan 1 2 3.
The symbols given are the ones commonly used. Sijil pelajaran malaysia mulai tahun 2021. You can also bookmark this . Rumus matematik examonline spa ptd m41 pada 19.01.2016 jam 8:00 malam. Rumus matematik yang sangat jelas dan tersusun. 2 senarai rumus add maths k1 trial spm sbp 2010.
1 3472/1 3472/2 rumus matematik tambahan algebra 1 2 4 2 b b.
Rumus matematik yang sangat jelas dan tersusun. You can also bookmark this . The symbols given are the ones commonly used. Matematik (1449) senarai rumus sulit 2 1449/2. Sesuai digunakan untuk pelajar yang bersedia untuk spm tahun 2020 yang akan bermula januari . Para pelajar boleh menggunakan formula di bawah untuk . 1 3472/1 3472/2 rumus matematik tambahan algebra 1 2 4 2 b b. Sijil pelajaran malaysia mulai tahun 2021. Formula matematik pt3 rumus tingkatan 1 2 3. 1449/2 the following formulae may be helpful in answering the questions.
Rumus Matematik Spm : Modul Perkembangan Pembelajaran 3 Praktis Exam Online. Rumus matematik yang sangat jelas dan tersusun. 2 senarai rumus add maths k1 trial spm sbp 2010. Have just read the article entitled senarai rumus matematik spm. You can also bookmark this . Formula matematik pt3 rumus tingkatan 1 2 3. 1449/2 the following formulae may be helpful in answering the questions. Yang berikut adalah formula matematik spm yang akan diberi pada peperiksaan spm percubaan dan sebenar.
Para pelajar boleh menggunakan formula di bawah untuk . 2 senarai rumus add maths k1 trial spm sbp 2010. The symbols given are the ones commonly used. 1 3472/1 3472/2 rumus matematik tambahan algebra 1 2 4 2 b b.

1 3472/1 3472/2 rumus matematik tambahan algebra 1 2 4 2 b b. Matematik (1449) senarai rumus sulit 2 1449/2. The symbols given are the ones commonly used.

The symbols given are the ones commonly used. Rumus matematik examonline spa ptd m41 pada 19.01.2016 jam 8:00 malam. 1 3472/1 3472/2 rumus matematik tambahan algebra 1 2 4 2 b b.
Para pelajar boleh menggunakan formula di bawah untuk .

Rumus matematik yang sangat jelas dan tersusun.

Para pelajar boleh menggunakan formula di bawah untuk .

Formula matematik pt3 rumus tingkatan 1 2 3.

Have just read the article entitled senarai rumus matematik spm.

Rumus matematik yang sangat jelas dan tersusun.
The symbols given are the ones commonly used.
Post a Comment for "Rumus Matematik Spm : Modul Perkembangan Pembelajaran 3 Praktis Exam Online"